Why Is General Hospital Running Repeats

Avery reflected on some of the nicknames her character Esme Prince has acquired from fans. Murder mob wars and mansions all in a days work for the residents of Port Charles New York.


Why Is General Hospital A Rerun Today 10 6 21 The Focus

As awful as most of the NF sl was the reveal was even worse.

. Get exclusive videos blogs photos cast bios free episodes and more. Due to ABC News coverage of Muhammad Alis funeral there will be a full network preempt of General Hospital today. Since its premiere in 1963 the ABC series holds the title of the longest-running American soap in production to this date.

Starting this Friday April 6 the show will air repeat episodes every Friday through May 22. As of now General Hospital plans to air reruns if they cannot resume filming before the new episodes run out. Why the General Hospital repeat.

Lucy approached and. By Chris Eades August 28 2018. The Real Reason Why GENERAL HOSPITAL Is Airing Reruns at the End of August.

Does anyone know why they showed a repeat rather than a new show today. As ABC executive Nathan Varni explains the show is airing reruns Wednesday August 29 through Friday August 31 because there have been significantly fewer preemptions this year. Courtesy of ABC.

Dubbed Flashback Fridays the episodes will feature an. To answer the QOTM. Aiden was disappointed when Laura said that Ouija boards were only a game and werent real.

Laura wondered why Aiden was interested in Ouija. Its normal for soaps to air an encore episode on a holiday but news that GENERAL HOSPITAL is airing three additional reruns before Labor Day threw many fans into a panic. ABC managed to spread out their remaining episodes by inserting flashbacks into some episodes.

General Hospital news and spoilers indicate history is always repeating itself as Pohl has been enduring the same negativity and flak from fans as those who came before her. Browse the list of episode titles to find summary recap you need to get caught up. General Hospital full episode guide offers a synopsis for every episode in case you missed a show.

General Hospital to Re-Air Past Nurses Ball Episodes After Running Out of Originals This Month. But there is some bad news for. Production was halted on the show as with pretty much every television show in March of 2020 as the coronavirus pandemic started to spread.

Aiden stared at his phone and researched the history of Ouija boards. Network executive Nathan Varni has taken to Twitter to try to explain. If they are allowed to resume production at the beginning of May by the end of the.

General Hospital fans were upset on social media about the three repeats last week and now today will be the same. Regular programming will resume Monday June 13. Eglassman11 October 6 2021 853pm 1.

1484737 likes 37586 talking about this. General Hospital will move to four episodes a week as a measure to stretch out the remaining episodes filmed before the coronavirus pandemic forced. In honor of the late boxing.

ABCs daytime drama General Hospital will begin airing repeat episodes on Fridays beginning this week April 3 through May 22 amid the. A new episode will air on Wednesday. The March 25 episode of GENERAL HOSPITAL has been preempted and will instead air the following day on Friday March 26.

For viewers looking for Tuesday s episode of General Hospital it is a repeat due to a Special Report from ABC News. The only one who showed any emotion or excitment to me was Kristina. General Hospital viewers were treated to a couple of intense episodes on Monday and Tuesday but now they will be left hanging for an entire week.

Monday May 11 2020 347 PM. However ABC network executive Nathan Varni has assured everyone there is. In areas where the show is able to air in its normal time slot ABC is instead airing a repeat so dont be confused if.

Due to ongoing breaking news coverage todays scheduled episode of GH will instead air tomorrow the soap tweeted. With General Hospital s original-episode stash about to run dry ABC is betting on nostalgia to fill the Port Charles-sized. You shouldnt be worried Varni tweeted.

Sonny seemed to just walk into each PC set as if he had not missed a day. Outside Kellys Diner Laura and Aiden shared a table together. General Hospital October 2021 Spoilers Included.

Why was there a repeat for todays show. Encore episodes are scheduled to air through Labor Day and fans are already frustrated by ABCs decision to go this route. As you probably have already guessed General Hospital is stuck showing reruns due to the COVID-19 pandemic.

There were no interruptions in the New York area. Marc Anthony Samuel Kathleen Gati General. Its been planned for months.

General Hospital only has a limited amount of new episodes left to air so by showing a rerun every Friday they can make the new episodes last longer. Last week the reruns were aired because the show tapes a certain amount of.


General Hospital September 6 2021 Episode Delayed Not Airing Today Ontheflix


Pin On American History


General Hospital To Air Repeats On Fridays To Stretch Out Remaining Episodes


Why Is General Hospital Showing Reruns When Will There Be New Episodes


Unexpected Mutations By Crispr Cas9 Ctg Repeat Excision In Myotonic Dystrophy And Use Of Crispr Interference As An Alternative Approach Molecular Therapy Methods Clinical Development


General Hospital 2020 21 Season Ratings Updated 9 24 2021 Canceled Renewed Tv Shows Tv Series Finale


Uzalo Teasers For September 2021 In 2021


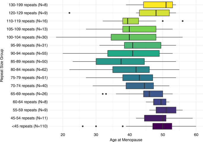
Refining The Risk For Fragile X Associated Primary Ovarian Insufficiency Fxpoi By Fmr1 Cgg Repeat Size Genetics In Medicine


Crispr The New Tool In The Gene Editing Revolution Explained Genetics Biology Dna Molecule


General Hospital To Air Repeats On Fridays To Stretch Out Remaining Episodes


General Hospital October 6 2021 Episode Delayed Preempted For Breaking News Coverage Ontheflix


General Hospital Airing Friday Reruns During Pandemic Shutdown Tvline


Raz Imports Large Christmas Gingerbread Mansion Christmas Gingerbread House Gingerbread House Designs Gingerbread Christmas Decor


Neurodegenerative Diseases Associated With Non Coding Cgg Tandem Repeat Expansions Nature Reviews Neurology


General Hospital November 25 26 2021 Episodes Delayed Not Airing Ontheflix


Photos Vaccine History Repeats Itself Sometimes Georgia Public Broadcasting


When Will New Episodes Of General Hospital Air


General Hospital S Last New Episodes Final Originals Date Reruns Tvline


General Hospital To Air Repeats On Fridays To Stretch Out Remaining Episodes

Comments

Popular posts from this blog

夢 ハウス 展示 場

Ikan Puyu Di Australia